Acetaldehyde dapat dihasilkan oleh reaksi oksidasi ethanol dengan menggunakan oksigen dari udara dengan bantuan katalisator padat thorium molybdate. Reaksi antara ethanol dengan udara adalah sebagai berikut :
                    C2H5OH   +  ½  O2    ---------->         CH3CHO  +   H2O
Reaksi oksidasi ethanol dengan oksigen yang berasal dari udara berlangsung pada fasa gas dengan kondisi operasi tekanan sekitar 17 atm dan suhu sekitar 200°C. Dengan adanya katalisator padat thorium molybdate, maka kecenderungan reaksi oksidasi yang mengarah pada pembentukan CO2 akan dapat dikecilkan efeknya.
URAIAN PROSES
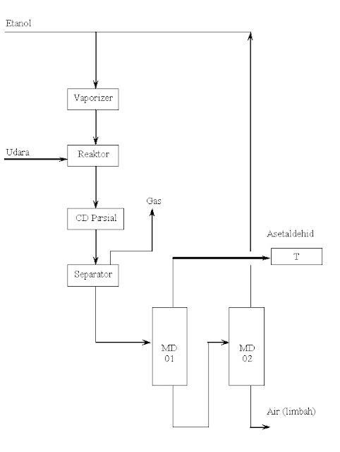
            Ethanol dari tangki penyimpan dialirkan ke vaporizer bersama dengan ethanol yang berasal dari arus recycle hasil atas menara distilasi 02. Uap ethanol kemudian diumpankan ke dalam reactor fixedbed multitubular bersama dengan udara dengan suhu sekitar 200°C. Di dalam reactor terjadi reaksi oksidasi yang bersifat eksotermis (keluar panas) untuk itu diperlukan pendinginan. Hasil reaksi kemudian diumpankan ke dalam condensor parsial sehingga suhu turun sekitar –10°C. Pada suhu yang serendah ini, acetaldehyde, ethanol dan air akan banyak yang mengembun, sedangkan udara sisa reaksi tetap dalam bentuk gas, oleh karena itu dapat dipisahkan di separator. Hasil embunan kemudian diumpankan ke dalam menara distilasi 01 untuk memisahkan acetaldehyde sebagai produk yang diperoleh dari hasil atas. Hasil bawah yang berupa ethanol dan air diumpankan ke dalam menara distilasi 02 untuk memisahkan ethanol sebagai hasil atas dan air sebagai hasil bawah. Ethanol kemudian direcycle, dicampur dengan umpan segar ethanol, sedangkan air sebagai limbah. 
Flow diagram proses:
DATA UNTUK REAKTOR
Jenis : Reaktor Fixedbed Multitubular
- Kondisi operasi
 
                   Suhu                   : 220 - 280°C
                   Tekanan              : ± 17.5 atm
                   Sifat reaksi          : eksotermis
                   Kondisi proses    : non adiabatic non isothermal dengan pendingin HITEC
- Katalisator
 
                   Jenis                       : Thorium molibdate
                   Bentuk                   :  bola
                   Ukuran                   :  0.125 in
                   Bulk density, rb       :  0.63 g/ml 
                   Partical density, rp   : 1.05 g/ml
                   Void space               :  0.4
- Kinetika reaksi
 
Persamaan reaksi kimia:
CH3CH2OH  +  ½ O2   ---------------->     CH3CHO    +  H2O 
(Ethanol) (acetaldehyde)
(Ethanol) (acetaldehyde)
                            ( Journal of Catalysis, vol.43 th 1976 )
dimana :
rA    : kecepatan reaksi ethanol, kmol/kg cat.sec
k1    : 9.47 exp (-9310/R.T)      ; kmol/kg cat.sec.(atm)
k2    : 0.17 exp (-9850/R.T)      ; kmol/kg cat.sec.(atm)1/2
R    : konstanta gas ideal, 1.987 kkal/(kmol.K)
T    : Suhu operasi, K
pE   : Tekanan parsial ethanol,   atm
pO2 : Tekanan parsial oksigen, atm
Data US Patent untuk proses pembuatan Acetaldehyde dari Ethanol
adalah US Patent 4347109, 31 Agustus 1982 dengan label Method for making acetaldehyde
from ethanol 
Download United States Patent 4347109 
   


pak semua halamannya membantu sekali, sukses terus yaa!!
BalasHapus